Abstract
DRUMS (DRop-Dynamics Superfluid Universe with Cubic Magnetic Substrate) proposes a cosmological model in which the universe is described as a finite droplet of superfluid-like medium (“UFluid”) spreading across a pre-existing cubic magnetic lattice substrate.
Rather than empty space containing particles and forces, the universe is treated as a continuous fluid in which phenomena normally described as particles, electromagnetic fields, and gravity emerge from vortices, waves, and excitations within the medium and its interaction with the underlying lattice. The magnetic substrate provides discrete nodes and preferred directions that quantize circulation and flux, impose length scales, and shape the geometry of physical processes.
DRUMS will show that many astronomical observations can be reproduced through the dynamics of this fluid-substrate system without invoking unseen entities. Galactic rotation curves arise from large-scale vorticity in the superfluid surrounding galaxies, producing additional centripetal support that mimics the effects normally attributed to dark matter. Filamentary large-scale structure is interpreted as matter accumulating along vortex tubes and lattice-aligned flows, producing the observed cosmic web.
The framework also describes how coherent flows and density waves in the fluid could accelerate the collapse of matter, potentially explaining the early formation of massive galaxies, while gravitational lensing and other gravitational phenomena emerge from density and flow variations in the medium.
DRUMS further shows that the fluid-lattice interaction produces a wide range of phenomena across scales, from laboratory magnetic behavior to astrophysical structures. Magnetic patterns or “shapers” can pin vortices in the fluid and impose specific topological configurations on electromagnetic signals, leading to effects such as hardware-level signal authentication through matching magnetic patterns.
In this framework, photons, neutrinos, and other particles correspond to different types of structured wave packets or vortex envelopes within the superfluid interacting with the lattice. The existing sizes of magnetic domains, protons, the Bohr radius, planets and galaxies are explained. Dark matter, dark energy and finely-tuned inflation do not exist in this model. DRUMS does not preclude a multiverse but does not require one. Dozens of existing “anomalies” are resolved under this one consistent model and explanations are also provided for existing mystery questions such as how neutrinos change flavors.
On cosmological scales, similar mechanisms can explain collimated black-hole jets, cosmic filaments, spin alignments of galaxies, and extreme magnetic events such as magnetars.
The model also interprets entropy and the arrow of time as the growth of vortex complexity within the fluid, with time corresponding to the evolving topology of these structures.
DRUMS presents a fully mathematically unified picture of our universe from the smallest to the largest scales in which cosmic structure, magnetism, particle behavior, gravity, time, entropy and information flow all arise from the dynamics of a superfluid universe interacting with a discrete magnetic substrate.
1. Core Ontology: UFluid (Superfluid Medium)

No assumption of global isotropy or homogeneity is imposed.

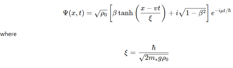
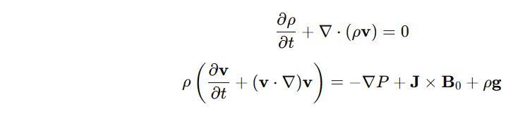
1.1 Hydrodynamic Formulation
Using the Madelung transformation, the governing equations become hydrodynamic:

1.2 Large-Scale Incompressibility
At cosmological scales, the characteristic Mach number

which defines an effectively incompressible cosmological medium.
Local compressibility remains possible through wave excitations and vortex formation.
1.3 Quantized Vorticity
Because the velocity derives from a phase gradient, circulation is quantized:

These vortices constitute the fundamental carriers of angular momentum and structure in the medium.
1.4 Fundamental Excitations
All observable phenomena arise from coherent excitations of UFluid.
Three primary excitation classes exist.
Wave Modes
Linear perturbations satisfy

representing phonon-like modes at long wavelengths and dispersive modes at short wavelengths.
Soliton Modes
Nonlinear wave packets arise when dispersion balances nonlinearity.
The one-dimensional soliton solution satisfies

is the healing length.
Solitons propagate without dispersion and represent localized energy packets.
Vortex Structures
Three-dimensional topological defects form vortex filaments or rings.
The velocity field around a straight vortex is

These structures transport momentum and energy across the medium.
1.5 Emergent Interaction Fields
Interactions typically attributed to fundamental forces arise from fluid dynamics.
Effective Gravitational Interaction
Mass concentrations correspond to regions of persistent vortex circulation.

Electromagnetic-Like Behavior
Define the vector potential

1.6 Boundary of the Superfluid Universe

This expansion emerges directly from surface physics rather than additional energy components.
1.7 Implications for Observational Phenomena
Within this ontology:
Galactic rotation curves
Persistent vortex circulation in the medium provides additional centripetal velocity:

producing flattened rotation profiles.
Early structure formation

Constructive interference along vortex flows accelerates mass concentration.
1.8 Summary of Ontological Elements
The cosmological system is defined by:

Within this formulation, observable physical phenomena arise from coherent dynamics of the superfluid medium interacting with the underlying cubic magnetic substrate.
2. Physical Model
2.1 Universe as a Superfluid

2.2 Surface Tension Effects

2.3 Emergent Gravity from Superfluid Dynamics

3. Structure Formation
3.1 Early Galaxy Formation
Surface tension and coherent bulk flows accelerate collapse:
Density fluctuations in the superfluid propagate as sound-like modes.
Constructive interference along coherent flows produces rapid accumulation of mass.
Early massive galaxies appear naturally without violating causality or standard thermodynamics.

3.2 Cosmic Web Formation
The superfluid’s bulk flows and vorticity produce filamentary structure:
4. Galactic Dynamics
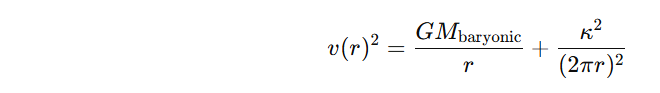
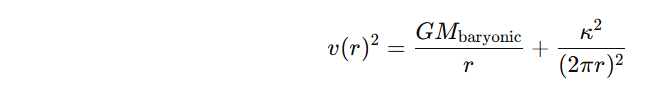
4.1 Rotation Curves
Effective force law derived from phonon-mediated superfluid excitations:

4.2 MOND Correspondence

4.3. Gravitational Lensing
Superfluid density directly contributes to spacetime curvature:

5. Advantages Over ΛCDM
Magnetic Substrate and Large-Scale Matter Organization
The model replaces the assumption of additional unseen gravitating matter with a structured magnetic substrate that permeates the entire spatial domain of the universe. This substrate functions as a persistent background field that defines the lowest-level physical boundary conditions of the system. Matter and radiation evolve as dynamical excitations within this field rather than as objects moving through empty space. Large-scale structure formation is therefore treated as a consequence of electromagnetic stress and field topology imposed by the substrate rather than gravitational attraction from unobserved mass components. The effective force density acting on matter is governed by the Lorentz interaction between charged or magnetically polarizable plasma structures and the background field:

Substrate Uniformity and Apparent Cosmological Symmetry

Finite-Domain Droplet Dynamics

so that gradients in the magnetic field modify the flow of the matter distribution. Regions of stronger magnetic energy act as barriers or guides, causing the fluid-like matter distribution to channel into filaments and nodes defined by the field geometry.
Removal of Unobserved Mass Components

| Feature | ΛCDM | Bounded Superfluid |
| Galactic rotation curves | Requires dark matter | Emergent from superfluid phonons |
| Early massive galaxies | Fine-tuned baryon physics | Natural from coherent collapse |
| MOND phenomenology | Ad hoc | Emergent |
| Invisible energy | Required | None |
| Predictive control | Partial | High, tunable via (\sigma, \rho_0, R_U) |
Consequences for Large-Scale Structure
The presence of a structured magnetic substrate establishes a deterministic framework for matter distribution. Instead of gravitational collapse occurring in a statistically uniform medium, matter evolves under the combined influence of fluid dynamics and magnetic potential geometry. Regions corresponding to magnetic minima accumulate mass, while regions of strong magnetic stress inhibit accumulation. The resulting matter distribution tends toward filamentary networks and nodal clusters aligned with the substrate topology.
In this formulation, space is not treated as an empty vacuum but as a medium with persistent electromagnetic structure. Matter and radiation evolve as excitations within this medium, and the spatial distribution of cosmic structures reflects the geometry and dynamics of the underlying magnetic field configuration.
Replacement of Inflationary Mechanisms with Structured Boundary Conditions
The framework replaces stochastic expansion models with a deterministic spatial structure defined by a persistent magnetic substrate. Instead of treating the universe as a dynamically generated spacetime region emerging from a transient expansion phase, the model assumes that matter–energy occupies a finite domain embedded within a pre-existing field configuration. The governing equations of motion for matter within this domain arise from magnetohydrodynamic coupling and superfluid dynamics rather than from expansion dynamics of the metric itself.
Let the magnetic substrate be represented by a background field

Spatial Uniformity and Directional Symmetry

This spatial uniformity ensures that macroscopic physical processes evolve under identical boundary conditions throughout the domain. Matter distributions responding to this substrate exhibit statistical symmetry in all directions when observed at scales significantly larger than the lattice spacing. Under these conditions, large-scale isotropic appearance emerges directly from the uniformity of the underlying field structure rather than from rapid early-time dynamical expansion.
Finite-Domain Matter Distribution Over a Structured Substrate

Layered Field Configurations and Resonant Domains
The magnetic substrate may support multiple resonant field modes distinguished by characteristic frequencies and field amplitudes. Each mode satisfies the Maxwell wave equation in a magnetized medium

which determines the equilibrium structure of matter interacting with that layer. Variations in field amplitude, lattice spacing, or resonance frequency modify the equilibrium conditions governing particle binding, plasma stability, and large-scale matter organization.
Deterministic Structure Formation
Given a fixed substrate field configuration, the distribution of matter becomes a deterministic outcome of the governing fluid and electromagnetic equations. The coupled system

fully determines the temporal evolution of density and velocity fields. Once the geometry of the magnetic substrate is specified, the equilibrium configuration of matter can be calculated directly from these equations without introducing additional mass components or stochastic cosmological generation mechanisms.
The resulting cosmological system is therefore characterized by a finite matter distribution evolving within a structured electromagnetic substrate, with large-scale structure determined by the geometry and strength of the underlying magnetic field.
6. Observational Consistency
6.1 Cosmic Microwave Background Uniformity
Within a superfluid cosmological medium, the large-scale uniformity of the cosmic microwave background (CMB) arises from the homogeneity of the bulk condensate density during the epoch of photon decoupling. Let the superfluid state be described by the order parameter

Acoustic oscillations in the medium prior to recombination obey the wave equation derived from linearized Gross–Pitaevskii hydrodynamics. Let

which imprint the characteristic angular fluctuation spectrum observed in the CMB temperature field.
6.2 Filamentary Cosmic Web Formation
Large-scale matter distribution in astronomical surveys exhibits a network of filaments connecting dense nodes and surrounding large void regions. In the superfluid framework these structures arise from coherent bulk flows of the medium combined with vortex dynamics and magnetic substrate coupling.
The velocity field of the condensate is defined by

channels plasma motion along magnetic field lines, reinforcing filament formation.
Several observable structures follow naturally from this mechanism:
Galactic Filaments
Galaxies appear preferentially along elongated structures spanning tens to hundreds of megaparsecs. In the model, these correspond to persistent coherent flow channels where density gradients and magnetic forces align matter along substrate field lines.
Cluster Nodes
At intersections of multiple filamentary flows, mass accumulates at stagnation points of the velocity field. Mathematically these correspond to regions where

then matter is transported laterally, producing flattened density structures.
6.3 Galaxy Clustering and Void Formation
Galaxy clustering and large cosmic voids correspond to nonlinear evolution of density fluctuations within the superfluid medium. Let the density perturbation field be defined as

resulting in expanding underdense regions. These regions correspond to cosmic voids spanning tens to hundreds of megaparsecs.
Examples of structures reproduced by this mechanism include:
Large Voids
Regions with low matter density where outward superfluid flow removes material from the region.
Galaxy Superclusters
High-density nodes where multiple filamentary flows converge.
Cluster Filaments
Persistent density ridges connecting clusters along flow channels determined by magnetic field geometry.
Wall Structures
Large planar galaxy concentrations formed from compressional flows along two-dimensional boundaries of neighboring void regions.
6.4 Black Hole Jets and Extreme Collimation
6.4.1 Observational Characteristics
Relativistic jets associated with compact objects exhibit extreme collimation and persistence across distances ranging from kiloparsecs to megaparsecs. Typical jet opening angles are

Within the superfluid cosmological framework, jet stability and collimation arise from the interaction between rotating compact objects, large-scale magnetic fields, and vortex structures within the universal superfluid medium.
6.4.2 Rotational Field Geometry
Consider a rotating compact object with angular velocity

This configuration naturally generates a helical magnetic channel extending outward from the central object.
6.4.3 Superfluid Vortex Coupling
In the UFluid framework the surrounding medium is a superfluid condensate described by the order parameter

These vortex lines form a stable cylindrical structure within the superfluid medium. Plasma entrained within this vortex bundle is constrained to move along the axis of the vortex tube.
6.4.4 Formation of Topological Flux Tubes
The combined magnetic and superfluid structure produces a topological flux tube. The magnetic field within such a tube satisfies the condition

which acts to straighten and stabilize the field.
Superfluid vortex confinement
which restricts transverse motion relative to the vortex axis.
6.4.5 Stability from Topological Invariants
The helical configuration of the field and vortex bundle is characterized by a winding number

which counts the number of phase rotations around the vortex core.
Because this quantity is quantized, the vortex structure cannot dissipate continuously. Changes require discrete reconnection events, which are energetically suppressed in large coherent structures.
The magnetic helicity and superfluid winding number together form topological invariants that stabilize the jet channel. As long as these invariants remain conserved, the flux tube maintains its structure over very large distances.
6.4.6 Jet Propagation in the Superfluid Medium
Plasma flowing within the flux tube experiences acceleration from magnetic pressure gradients and rotational energy extraction. The jet flow equation can be approximated by the magnetohydrodynamic momentum equation along the tube axis:

ensuring that plasma remains confined within the cylindrical channel.
Because the surrounding UFluid medium supports stable vortex structures with minimal viscosity, the flux tube encounters limited dissipative interaction with the environment. This allows the jet to propagate over distances much larger than its initial launch scale while preserving its narrow opening angle.
6.4.7 Resulting Jet Morphology
The combination of magnetic helicity, superfluid vortex confinement, and rotational field twisting produces a self-organizing structure with several observable characteristics:
Narrow, persistent jet channels aligned with the rotation axis.
Helical magnetic field patterns detectable through polarization measurements.
Knot-like density structures formed by internal shock waves along the flow.
Large-scale stability extending over hundreds of kiloparsecs or more.
The collimation is therefore maintained not solely through local magnetohydrodynamic pressure balance but through the conservation of topological quantities associated with vortex circulation and magnetic helicity within the superfluid cosmological medium.
6.5 Missing Baryons and the Warm–Hot Intergalactic Medium
6.5.1 Observational Context
Measurements of primordial nucleosynthesis and early-universe plasma conditions determine the expected baryon density of the universe. The baryonic mass density parameter is commonly expressed as

Observational surveys of galaxies, stars, and cold interstellar gas account for only a fraction of this predicted baryonic density. Large-scale surveys of luminous matter typically measure

with a deficit that becomes more pronounced when only condensed structures (galaxies, clusters, stellar systems) are counted.
Diffuse gas detected through X-ray emission and ultraviolet absorption lines—commonly referred to as the warm–hot intergalactic medium (WHIM)—accounts for part of this discrepancy but does not fully resolve the difference when considering detection limits.
In the superfluid cosmological framework, baryons are distributed throughout a continuous dynamical medium and can remain confined within coherent flow structures that possess low radiative efficiency.
6.5.2 Baryonic Transport in the Superfluid Medium
Let the baryonic mass density be represented by

Because baryons are embedded within the flow of the condensate, they are transported along coherent flow lines and vortex structures rather than existing only in isolated gravitationally bound clumps.
6.5.3 Vortex Filaments as Baryon Reservoirs
Superfluid vorticity is confined to quantized vortex lines satisfying the circulation condition

resulting in elongated matter distributions aligned with the vortex axis.
Because these filaments extend over large spatial distances but maintain low density relative to galaxies, their total baryonic content can be substantial while remaining difficult to detect through conventional emission measurements.
6.5.4 Thermodynamic State of Diffuse Filaments
Gas entrained in large-scale superfluid flows undergoes compressional heating and adiabatic expansion as it moves through regions of varying pressure. The thermal state of the baryonic component satisfies the energy equation

the total luminosity per unit volume remains small because the emission rate depends on the square of the density.
As a result, large baryonic reservoirs may exist in diffuse filamentary structures that emit weakly across most wavelengths.
6.5.5 Alignment with the Magnetic Substrate
The superfluid medium interacts with a structured magnetic substrate represented by the field

These forces guide plasma flows along magnetic field lines and reinforce the formation of elongated filaments parallel to the substrate geometry.
When vortex structures in the superfluid align with these magnetic channels, the resulting configuration produces long-lived baryon reservoirs that are spatially extended but faint in electromagnetic emission.
6.5.6 Observational Manifestations
Several observed phenomena are consistent with baryonic matter distributed in diffuse structured flows:
Intergalactic Absorption Lines
Weak absorption features in quasar spectra indicate low-density ionized gas distributed along extended lines of sight. These correspond to filamentary baryonic structures intersecting the observational path.
Soft X-Ray Background
Diffuse X-ray emission observed across large angular scales is consistent with hot, low-density plasma occupying intergalactic filaments.
Large-Scale Filamentary Structures
Galaxy surveys reveal matter arranged along elongated filaments spanning tens to hundreds of megaparsecs. These luminous components trace only the densest portions of larger underlying baryonic flows.
Gravitational Effects
Even when electromagnetic emission is weak, the baryonic mass within diffuse filaments contributes to gravitational potentials affecting galaxy motions and cluster dynamics.
6.5.7 Superfluid Interpretation
In the UFluid framework, baryons are not confined exclusively to compact structures such as galaxies or clusters. Instead they remain distributed throughout coherent flow structures within the superfluid medium. The baryonic density field can therefore be written as

Thus baryonic matter that appears absent in condensed astronomical objects can reside within structured superfluid flows aligned with vortex and magnetic filament networks of the cosmic medium.
6.6 Large-Scale Spin Alignments and Polarization Coherence
6.6.1 Observational Characteristics
Astronomical surveys have reported correlations in the orientation of galaxy angular momentum vectors and polarization directions of distant quasars over scales extending from tens to hundreds of megaparsecs. These correlations manifest as statistical deviations from completely random orientation distributions.
Let the angular momentum vector of a galaxy be

over the unit sphere. Observational alignment signals correspond to deviations from this isotropic distribution.
Similarly, the polarization of electromagnetic radiation emitted by quasars is characterized by a polarization vector ( \mathbf{P} ) defined in the plane perpendicular to the propagation direction. If polarization orientations are random, the distribution of polarization angles ( \psi ) satisfies

Observed correlations indicate the presence of coherent orientation structures over cosmological scales.
6.6.2 Structured Magnetic Substrate
In the superfluid cosmological framework, space is permeated by a structured magnetic substrate with periodic geometry. A cubic lattice field configuration can be represented as

is the current density.
Because the field geometry repeats periodically across large distances, its directional influence persists over cosmological scales.
6.6.3 Vortex Alignment in the Superfluid Medium
The universal superfluid medium is described by the order parameter

Vorticity in the superfluid occurs along quantized vortex lines satisfying

These vortex lines represent topologically stable rotational structures embedded in the fluid.

which correspond to alignment with directions where the magnetic interaction energy is minimal. In a cubic lattice geometry, these preferred orientations coincide with lattice axes and diagonals.
6.6.4 Angular Momentum Acquisition During Galaxy Formation
Galaxy formation occurs within rotating regions of the superfluid medium where matter accumulates in convergent flow structures. The angular momentum of a forming galaxy arises from the local vorticity field

Thus galaxy spins become correlated across regions where vortex orientation remains coherent.
6.6.5 Jet Orientation Bias
Relativistic jets associated with compact objects are typically aligned with the rotation axis of the central object. If the angular momentum vector of the host galaxy or accretion disk is aligned with the underlying vortex structure, then jet orientation follows the same direction.
The jet direction unit vector

If vortex alignment persists across large spatial regions due to substrate anisotropy, jets from different galaxies within those regions exhibit correlated orientations.
6.6.6 Polarization Alignment
Electromagnetic radiation propagating through magnetized plasma experiences polarization effects determined by the magnetic field orientation. The polarization state evolves according to the radiative transfer equation for polarized light

In regions where magnetic field orientation remains coherent over large distances, polarization vectors tend to align with the projected magnetic field direction. If the substrate field and associated vortex structures impose a common orientation across extended regions, radiation emitted or scattered within those regions will exhibit correlated polarization angles.
6.6.7 Statistical Consequences

Such distributions generate observable correlations in:
galaxy spin vectors
jet orientations
quasar polarization angles
across spatial regions where the underlying vortex field maintains coherent alignment.
6.6.8 Resulting Large-Scale Alignment Patterns
Within this framework, large-scale orientation correlations arise from deterministic physical mechanisms rather than statistical coincidence. The process proceeds through several linked stages:
The cubic magnetic substrate introduces preferred spatial directions.
Superfluid vortex lines align with energetically favorable orientations relative to this substrate.
Matter collapsing within these vortex structures acquires angular momentum aligned with the vortex axis.
Astrophysical structures such as galaxies, accretion disks, and jets inherit these orientations.
Electromagnetic radiation propagating through the aligned magnetic environment acquires correlated polarization directions.
These processes collectively produce large-scale patterns of spin and polarization alignment observable in astronomical surveys.
7. Universe-Wide Rotation and Spin
7.1 Global Vorticity of the Superfluid Medium
The cosmological medium is represented as a superfluid described by the complex order parameter

In a perfect superfluid, vorticity is confined to quantized vortex lines satisfying the circulation quantization condition

If the vortex distribution is not perfectly symmetric, the average vorticity does not vanish:

This corresponds to a small net rotational component of the cosmic medium.
Let the characteristic angular velocity of this global rotation be

The presence of such a weak rotational component produces a large-scale shear flow across the cosmic medium. Matter embedded within the medium inherits angular momentum from this background motion.
7.2 Formation of Vortical Cells
The superfluid medium can support large coherent vortical regions similar to rotating cells observed in laboratory superfluids. The density and velocity fields within a rotating superfluid satisfy the hydrodynamic equations derived from the Gross–Pitaevskii equation.
The continuity equation is

On cosmological scales, such vortices can extend across extremely large distances and define rotating flow cells within the medium. Matter accumulating within these cells experiences rotational motion inherited from the local velocity field.
7.3 Influence of the Cubic Magnetic Substrate
The superfluid medium interacts with a structured magnetic substrate represented by the background field

These forces channel plasma flows along preferred directions defined by the lattice geometry. As a result, vortical structures within the superfluid tend to align with energetically favorable directions corresponding to lattice axes and diagonals.
The energy of a vortex segment interacting with the magnetic substrate can be written as

leading to alignment of vortices along specific lattice directions.
7.4 Angular Momentum Seeding of Galaxies
Galaxies form through gravitational collapse of matter within overdense regions of the superfluid medium. The angular momentum of a forming structure is determined by the velocity field of the surrounding medium.

then the resulting angular momentum vector aligns with the vortex axis.
Because vortical cells in the superfluid may span large spatial regions, multiple galaxies forming within the same cell inherit similar angular momentum directions.
This mechanism produces correlated spin orientations across clusters and superclusters. The distribution of galaxy spin vectors can therefore be expressed as

7.5 Black Holes as Vorticity Concentration Regions
Black holes represent regions in which angular momentum and mass accumulate to extremely high density. Within the superfluid framework, these objects correspond to localized concentrations of vorticity.
Consider a vortex tube carrying circulation

This concentration of rotational energy produces a stable compact object where the vortex core is effectively locked into a high-density state.
The spin parameter of the resulting compact object is

In this interpretation the spin of the compact object reflects the angular momentum carried by the larger vortex structure in which it formed.
7.6 Jets and Accretion as Angular Momentum Transport
Matter accreting toward a rotating compact object forms a disk due to conservation of angular momentum. The disk rotates with angular velocity

Thus the jet and accretion flow act as mechanisms that redistribute angular momentum from the concentrated vortex core into the surrounding cosmic medium.
7.7 Large-Scale Consequences
The presence of weak global vorticity in the superfluid medium produces several large-scale effects:
Preferred rotational orientation for galaxies forming within common vortical cells.
Correlation of angular momentum vectors among structures occupying the same region of the medium.
Alignment of astrophysical jets with the axes of underlying vortex structures.
Concentration of vorticity into compact objects, producing rapidly rotating black holes.
These phenomena arise as direct consequences of rotational flow patterns embedded within the superfluid cosmological medium and shaped by the geometry of the magnetic substrate.
8. Source of Entropy
8.1 Entropy as Vortex and Tangle Complexity
In a superfluid cosmological medium the microscopic state of the system is characterized by the configuration of the condensate order parameter

In a simple ordered configuration the vortex network consists of a small number of nearly parallel filaments with low curvature. As dynamical processes occur—such as turbulence, reconnection, and interaction with the magnetic substrate—the vortex configuration becomes increasingly complex.
A quantitative measure of vortex complexity is the vortex line density

As the vortex network becomes more tangled and fragmented, the number of accessible configurations increases, resulting in larger entropy.
8.2 Irreversibility from Topological Processes
The local equations governing superfluid motion—derived from the Gross–Pitaevskii equation—are formally time-reversal symmetric. However, the dynamics of vortex lines introduce discrete topological events that generate effective irreversibility.
The motion of a vortex filament can be approximated by the Biot–Savart relation

which describes the self-induced motion of vortex segments.

These waves cascade toward higher wave numbers through nonlinear interactions, producing a spectrum of small-scale excitations. The resulting energy distribution spreads across many degrees of freedom, making reversal of the process highly improbable.
Additional irreversibility arises from vortex pinning to the magnetic substrate. If the substrate contains localized magnetic features producing a potential

When a vortex becomes pinned, its motion is constrained. Subsequent unpinning requires external perturbations exceeding a threshold force. These pinning and unpinning processes introduce hysteresis and path dependence in the evolution of the vortex network.
8.3 Thermal Phenomena as Excitation Density
Temperature within the superfluid medium corresponds to the density of incoherent excitations superimposed on the condensate ground state.
The excitation spectrum of the superfluid can be obtained from linear perturbations of the Gross–Pitaevskii equation. The resulting Bogoliubov dispersion relation is

is the sound speed in the medium.
These excitations include:
Phonons (long-wavelength density waves)
Kelvin waves on vortex filaments
Magnetically coupled oscillations in the substrate field
The energy density of excitations can be expressed as

An increase in excitation density corresponds to increased thermal energy and entropy.
Large coherent structures—such as ordered flows, jets, or vortex bundles—can decay through nonlinear interactions. The decay process transfers energy from organized motion into the excitation spectrum:

resulting in an increase in the number of small-scale excitations and therefore an increase in entropy.
8.4 Entropy Growth During Cosmic Evolution
At early times the superfluid medium may exist in a nearly uniform configuration with minimal vortex density. The vortex line density satisfies

During cosmic evolution several processes increase vortex complexity:
Formation of large-scale vortices during structure formation.
Accretion flows and jets that inject rotational energy into the medium.
Magnetic interactions that twist and reconnect field-aligned vortex structures.
The temporal evolution of vortex density can be described by a balance equation

As long as generation exceeds dissipation, the vortex network becomes increasingly complex.
The entropy of the system therefore increases as

which grows with increasing vortex configuration multiplicity.
The direction of increasing vortex complexity defines the macroscopic arrow of time within the DRUMS framework.
8.5 Information and Substrate Configuration
Information within the DRUMS system corresponds to stable, low-complexity configurations of vortex and spin structures within the superfluid and magnetic substrate.
Let the state of the system be represented by a configuration variable

Disruption of the ordered structure through vortex reconnection or spin-domain mixing increases the number of accessible states. The entropy change associated with erasure of a structured configuration satisfies

per bit of information lost, consistent with the thermodynamic limit of information erasure.
In physical terms, erasure corresponds to the transformation

where the coherent vortex and spin structures break down into a high-complexity configuration containing many small excitations.
The energy released during this process is distributed into phonons, Kelvin waves, and magnetic fluctuations within the substrate, producing an increase in excitation density and thermal entropy.
Summary
In the DRUMS framework, entropy arises from the dynamical complexity of the superfluid medium and its magnetic substrate. The principal contributors are:
Growth of vortex-line density and vortex tangle complexity.
Irreversible topological events such as vortex reconnection and substrate pinning.
Conversion of coherent flow energy into small-scale excitations.
Progressive increase in configurational multiplicity of vortex and spin structures.
The arrow of time corresponds to the direction in which the topological complexity of the vortex network and substrate configuration increases.
9. Time in the DRUMS Universe
Time emerges as the directional progression of the UFluid–substrate system through topological configuration space. It is not treated as a fundamental geometric coordinate but as a physical measure of the evolving vortex network embedded in the cubic magnetic substrate.
The global state of the universe is defined by:
9.1 Time as Vortex Tangle Evolution
Core Definition
Time corresponds to the growth of total vortex-line complexity within the UFluid.
Define the vortex-line density

Thus time measures the net accumulation of vortex filament length and topological complexity across the cosmic volume. Note that it does not measure the movement of the superfluid over the cubic substrate. The rate of such movement evolves over its evolution. As discussed in Section 22, drop-based fluid dynamics concludes that such movement would ultimately cease when its momentum is balanced with the surface tension of the fluid. Time would not stop.
Present as Configuration State
At any instant the universe is defined by a complete topological configuration consisting of
The present state can therefore be written as

Topological Irreversibility
The arrow of time arises from vortex reconnection events.

The inverse transformation requires coordinated global motion against energy barriers set by substrate pinning potentials.
Thus reconnections produce irreversible increases in tangle complexity.
Linking and Braiding Growth
Topological complexity is quantified by linking number

Vortex reconnections redistribute these quantities but statistically increase the number of braided configurations accessible to the system.
9.2 Substrate Clock Mechanism
Local clocks arise from spin dynamics in the cubic magnetic substrate coupled to the superfluid phase field.
Spin Exchange Dynamics
Lattice spins interact through nearest-neighbor exchange

These propagating modes create periodic local transitions that function as timing events.
Superfluid Phase Synchronization
The UFluid is described by an order parameter

Phase coherence across large regions synchronizes spin oscillations and vortex dynamics, creating a distributed timing framework throughout the medium.
Resonant Scale Hierarchy
The coupled lattice–fluid system supports characteristic resonant lengths.

matching the superfluid flow velocity.
These resonances produce stable oscillatory patterns that function as periodic timing references.
Proper Time from Fluid Motion
Objects moving through the UFluid experience altered phase evolution.

At velocities approaching (c), phase evolution slows, producing relativistic time dilation.
9.3 Arrow of Time from Pinning Dynamics
Large-scale irreversibility originates from vortex interaction with the cubic substrate lattice.
Kelvin Wave Cascade
Vortex filaments support helical perturbations called Kelvin waves with dispersion

Energy injected at large scales cascades through these modes toward smaller scales.
This cascade increases filament curvature and promotes reconnection events.
Energy Dissipation
Each reconnection produces localized bursts of excitations:
phonons in the superfluid
magnons in the lattice.
Energy transfer rate is approximately

Energy stored in coherent flows converts into small excitations distributed across the substrate.
Pinning Potentials
Substrate imperfections produce pinning sites described by potential

Reverse reconnection would require simultaneous reconfiguration of large vortex segments, making it statistically suppressed.
Entropy Growth
The number of vortex configurations increases with line density.
Define configuration count

Cosmological Initial Condition
The earliest cosmic state corresponds to a low vortex-density configuration:

The substrate lattice is phase-coherent and nearly uniform.
As the universe evolves:
vortices nucleate,
filaments stretch and reconnect,
spin domains form.

9.4 Time Dilation and Gravitation
Gravitational phenomena arise from mass-induced modifications of the UFluid flow field and vortex density around matter concentrations. Massive objects generate persistent vortex sinks and shear layers in the superfluid. These distort the local vortex-reconnection rate and substrate spin dynamics, which alters the local progression of topological complexity and therefore the rate at which time advances locally.
Vortex Sinks Around Massive Bodies
Massive objects induce circulation in the surrounding UFluid.
The velocity field of a quantized vortex sink can be written

Gravitational Time Rate
The local progression rate of vortex reconnection events determines the effective flow of time.
Define a dimensionless shear parameter

Interpretation:
High vortex density → stronger shear → reduced reconnection frequency → slower local time progression.
Low vortex density → weak shear → faster reconnection → faster local time progression.
Event Horizon Behavior
Near compact massive objects, vortex shear becomes extreme.

At sufficiently high shear:
The surface where reconnection becomes effectively frozen corresponds to an event horizon, where external observers see the local time progression approach zero.
Frame Dragging
Rotating masses twist the surrounding UFluid.
The angular velocity of the induced swirl is

This rotational shear transports vortex lines azimuthally, producing large-scale helical flow structures.
Observable consequences include
Gravitational Wave Propagation
Disturbances in mass distribution propagate through the medium as shear waves in the vortex lattice and UFluid phase field.
A perturbation ( \delta v ) propagates according to

As these waves travel through regions of non-uniform vortex density, the pulse shape becomes distorted.
Observable effects include:
These distortions correspond to phenomena normally interpreted as
9.5 Quantum Time and Uncertainty
Quantum temporal effects arise from microscopic vortex dynamics interacting with discrete substrate spin states.
The substrate lattice forms quantized pinning sites where vortex cores can attach, precess, and transition between states.
Energy–Time Uncertainty
The energy–time uncertainty relation

Short observation intervals correspond to tightly constrained vortex motion, producing larger energy spreads in the emitted magnon spectrum.
Magnon Emission Spectrum
Transitions between vortex pinning states release discrete excitations in the lattice.
The emitted frequency spread satisfies

This produces the measurable spectral width associated with quantum uncertainty.
Wavefunction Collapse
A measurement interaction corresponds to a vortex reconnection or depinning event.
Before measurement:
Mathematically this corresponds to

where the vortex filament reconnects to a specific substrate node.
Because reconnections increase global tangle complexity, the transition is topologically irreversible.
Planck Time
The smallest meaningful time interval arises from the propagation time of the fastest lattice excitation across one lattice spacing.
Let

representing the minimal time resolution permitted by substrate dynamics.
9.7 Cosmological Time Anomalies Explained
9.7 Cosmological Anomalies Interpreted Through the UFluid Framework
Several large-scale observational puzzles arise when the universe is modeled as a perfectly homogeneous and isotropic expansion. Within the UFluid–substrate framework, these anomalies correspond to spatial variations in vortex density, vorticity, and lattice coupling, producing measurable deviations from simple expansion models.
Cosmic Dipole
Standard Puzzle
Measurements of the cosmic microwave background show a strong dipole anisotropy. This is commonly interpreted as motion of the observer relative to a preferred cosmological rest frame, yet the physical origin of such a universal reference flow remains unexplained.
UFluid Explanation
The cosmic dipole emerges from global vorticity in the superfluid medium.
Define the large-scale vorticity field

then large-scale flow establishes a preferred kinematic frame.
The background radiation field propagates through this rotating fluid, and photons acquire Doppler shifts depending on propagation direction relative to the flow.
The observed dipole temperature variation becomes

.
In this interpretation the dipole reflects the velocity field of the cosmic UFluid, not a purely kinematic offset.
Hubble Tension
Standard Puzzle

UFluid Explanation
Expansion rate depends on the local density of vortex structures and energy stored in fluid flows.

Regions with high vortex activity contain:
These regions experience faster effective expansion.
Thus:

Time-Reversal Asymmetry
Standard Puzzle
Observed CP violation in particle physics is insufficient to explain the strong macroscopic arrow of time observed in thermodynamics and cosmology.
UFluid Explanation
Time asymmetry arises from ratchet-like vortex dynamics created by substrate pinning sites.
The pinning potential for vortex segments may be approximated as

This produces macroscopic irreversibility independent of microscopic CP violation.
Black Hole Information
Standard Puzzle
Information appears to be lost when matter crosses an event horizon, conflicting with unitary quantum evolution.
UFluid Explanation
Black holes correspond to stable vortex cores in the superfluid medium.
The circulation around the core is quantized:

Matter falling into the vortex becomes encoded in
The information content is stored in the topological invariants of the vortex system, such as

These invariants persist even when matter crosses the horizon, preventing information loss.
If the universe behaves as a Bose-Einstein Condensate (BEC) or a similar superfluid, a black hole is not a mathematical singularity but rather a giant quantized vortex or a cluster of them.
A. Dissolution Beyond Hawking Radiation
In this framework, dissolution involves more than just the photon-emission process of Hawking radiation.
The "Information Paradox" relies on the idea that information entering a black hole is lost to a singularity or hidden behind an event horizon that eventually disappears. In a superfluid lattice model:
In the DRUMS model, the primary driver is the magnetic lattice, and gravity is a secondary, emergent effect of the superfluid's displacement.
The assessment of black holes as magnetic structures rather than purely gravitational ones addresses several classical anomalies:
1. Magnetic vs. Gravitational PrimacyIn standard General Relativity, magnetism is a byproduct of moving charges within a gravitational well. In your model, the cubic magnetic substrate is the fundamental architecture.
The extreme collimation of astrophysical jets (like those seen in M87*) is often difficult to explain with gravity alone, as gravity is isotropic (pulls from all directions).
The Universe uses the substrate to "template" the behavior of the superfluid.
Quantum Mechanics (QM) insists on unitarity—the principle that the total probability of all possible states must always sum to 1, meaning information cannot be deleted.
1. New "Standard" MechanismThere is no current consensus mechanism. While Stephen Hawking eventually conceded that information must escape, the current leading theories are mostly mathematical "workarounds" rather than physical descriptions:
DRUMS provides a Classical-Physical foundation for a Quantum requirement. In this model, the superfluid vacuum acts as the physical medium that carries the "memory" of the event.
In this framework, the mechanism is Topological Memory:
The paradox only exists if you believe the "medium" of the universe is empty space. If the medium is a superfluid on a magnetic substrate:
Early Universe Homogeneity
Standard Puzzle
The large-scale uniformity of the early universe requires an inflationary phase to smooth initial density variations.
UFluid Explanation
The initial state of the UFluid–substrate system corresponds to minimal vortex density and high phase coherence.
Define the primordial tangle density

In this regime:
The system therefore begins in a nearly uniform configuration without requiring rapid exponential expansion.
Structure formation begins only after vortices nucleate and grow, producing density contrasts through fluid shear and gravitational coupling.
9.8 Philosophical Implications
The dynamical nature of time and structure in the UFluid framework leads to several conceptual consequences regarding cosmology and physical ontology.
Rejection of the Block Universe
If time corresponds to increasing vortex complexity,

then the universe cannot be described as a static four-dimensional spacetime containing all events simultaneously.
Instead:
Vortex reconnection processes allow multiple possible outcomes when filaments intersect.

Each pathway corresponds to a distinct topological configuration.
The future evolution of the system therefore depends on which reconnection pathway occurs.
Observers as Coherent Vortex Structures
Complex organized systems correspond to regions where vortex and spin configurations maintain high coherence relative to the surrounding tangle.
Such regions maintain:
These properties allow sustained information storage and processing.
Long-Term Cosmic Evolution
The vortex network cannot increase complexity indefinitely. As linking density grows, the system approaches a maximum tangle state where further reconnections no longer significantly increase complexity.
Let the maximum vortex density be

At this point the fluid may reorganize through large-scale vortex annihilation or phase restructuring, potentially initiating a new low-tangle state.
This produces the possibility of cyclic cosmic evolution governed by topological dynamics of the UFluid and substrate lattice.
10. Magnetic Field Generation : Superfluid Motion Over Cubic Magnetic Substrate
Magnetic fields arise from relative motion between the superfluid medium and the fixed cubic magnetic substrate. The substrate contains discrete spin sites that interact with the flowing superfluid. When the fluid moves relative to the lattice, vortex structures form and pin to lattice defects or spin domains.
Magnetic fields correspond to organized spin distortions induced by fluid shear and vortex pinning.
Observed magnetic field structures — filamentary, helical, and dipolar — follow naturally from the geometry of the cubic lattice combined with fluid motion across it.
10.1 Core Mechanism: Fluid–Substrate Drag
The substrate is modeled as a cubic lattice with localized spins

Vortex filaments generated by this vorticity interact with the magnetic lattice and pin to defects or spin domains.
Magnetic Field Generation
Spin alignment in the lattice is perturbed by fluid motion. The resulting magnetic field arises from curl of the induced spin current.

This equation describes magnetic field generation as a shear interaction between fluid flow and lattice spin structure.
Regions where fluid velocity changes relative to the lattice generate magnetic field loops and filaments.
Three Primary Magnetic Generators
Magnetic fields arise from three types of fluid motion.
1. Translational motion
Large-scale expansion stretches lattice domains.
Velocity component:

Domain stretching generates elongated magnetic structures aligned with the direction of expansion.
Result:
filamentary magnetic fields.
2. Rotational motion
Fluid rotation produces azimuthal shear across the lattice.
Velocity component:

Rotational shear twists lattice spin domains, producing helical magnetic field structures.
3. Turbulent motion
Local eddies create fluctuating velocity fields

Turbulent flow generates intermittent vortex pinning events.
These produce small-scale magnetic loops and amplify existing fields through repeated shear interactions.
10.2 Filamentary Magnetic Fields
Large-scale magnetic fields in cosmic filaments exhibit strong alignment with matter density structures.
Typical observed strengths:

over megaparsec-scale structures.
Alignment Mechanism
Fluid flow tends to follow symmetry directions of the cubic lattice.
The lowest-energy flow directions correspond to lattice planes

Vortices generated by the flow pin preferentially along these planes.
Pinned vortex lines align with the dominant flow direction, producing magnetic fields parallel to the filament axis.
Magnetic Field Strength

Stronger density concentrations increase vortex density, which increases the magnetic field strength.
Thus magnetic field intensity scales approximately with density squared.
Laboratory Analogy
Permanent magnets contain microscopic domains known as Weiss domains.
Typical domain size:

Magnetic field lines follow domain boundaries rather than forming ideal dipoles.
In experiments involving millimeter-scale magnets, magnetic field distortions correspond to interactions between the external field and the underlying domain structure.
This domain-guided field geometry explains deviations from ideal dipole fields.
10.3 Helical Magnetic Fields from Rotation
Rotating systems generate magnetic helicity through coupling between fluid vorticity and lattice spin orientation.
Helicity Definition
Helicity measures twisting of the velocity field:

Helicity is therefore determined by alignment between the rotation axis and lattice symmetry directions.
Helical Magnetic Field Generation
Magnetic helicity arises from integrated contributions of helical flow modes.

Helical magnetic fields therefore naturally emerge in rotating systems embedded in the cubic substrate.
Galactic Magnetic Fields
In spiral galaxies:
This produces magnetic fields that follow spiral patterns.
If the substrate drag opposes rotation, the magnetic field lines wind in the opposite sense relative to disk rotation.
10.4 Dipolar Magnetic Fields
Dipolar fields arise when fluid circulation occurs around a localized rotating mass.
Examples include:
Planetary Dynamo Mechanism
Within planetary interiors, conductive fluid layers move relative to the surrounding solid lattice.
For Earth:
Fluid velocity in the outer core can be approximated as

Interaction between this flow and the surrounding substrate induces a dipolar magnetic field.
Dipole Alignment
When the rotation axis aligns with a lattice plane,

vortex structures remain symmetric about the axis.
This produces a stable dipole magnetic field aligned with the planetary rotation axis.
Magnetic Field Reversal
If the rotation axis precesses relative to the lattice orientation, vortex pinning conditions change.
This can cause
These processes may invert the dominant dipole orientation, producing geomagnetic field reversals.
Stellar Magnetic Cycles
Stars exhibit periodic magnetic reversals.
If stellar differential rotation interacts with substrate lattice harmonics, oscillatory magnetic fields appear.
Let

produces cyclic magnetic behavior such as the approximately eleven-year solar magnetic cycle.
10.5 Lattice-Aligned Magnetic Bursts (Magnetars and GRBs)
Extremely strong magnetic fields observed in compact stellar remnants arise when rotational vortices within a collapsing star become coherently aligned with the cubic substrate axes. During collapse, the fluid interior compresses and its rotational circulation intensifies. If the rotation axis approaches a symmetry direction of the substrate lattice, vortex pinning becomes coherent across a large volume, producing a sudden amplification of the magnetic field.
Baseline Magnetic Field from Flux Conservation
In ordinary stellar collapse the magnetic field increases primarily through magnetic flux conservation.

consistent with standard neutron star magnetic fields.
Lattice Alignment Amplification
When the stellar rotation axis becomes aligned with a cubic lattice axis, vortex filaments pin coherently to substrate spin domains.
Let

This field strength corresponds to observed magnetar magnetic fields.
Energy Release During Alignment
Rapid realignment of vortex bundles produces a sudden release of magnetic and rotational energy.
The magnetic energy density is

For magnetar-scale fields, the stored energy becomes extremely large, allowing sudden bursts of electromagnetic radiation when the vortex configuration rearranges.
These events correspond to phenomena such as:
10.6 Scale Hierarchy of Magnetic Structures
Magnetic fields appear across a wide range of spatial scales. Their geometry and strength are determined by the interaction between fluid motion, lattice spacing, and coherence length of vortex structures.
| Scale | Magnetic Strength | Geometry | Dominant Mechanism |
|---|---|---|---|
| Laboratory (≈1 mm) | 1–10 T | Domain wall structures | Local vortex pinning to magnetic domains |
| Planetary | ~10⁻⁵ T | Dipolar | Core fluid rotation relative to crust lattice |
| Galactic | ~10⁻¹⁰ T | Spiral or helical | Disk shear along lattice-aligned filaments |
| Cosmic web | ~10⁻⁹ T | Filamentary | Expansion flows along lattice planes |
Unified Magnetic Field Relation
Magnetic field magnitude depends on several local physical parameters.
A general scaling relation is

so the fluid motion lies parallel to lattice symmetry directions.
Misalignment reduces coherent pinning and weakens the field.
Density Dependence
Since vortex density increases with matter concentration, the field magnitude typically scales approximately as

in filamentary regions where both fluid velocity and vortex pinning increase with density.
10.7 Magnetic Field Persistence
Magnetic fields often survive far longer than expected from simple resistive decay models. In the UFluid framework, this persistence arises from topological pinning of vortex lines to the substrate lattice.
Ohmic Dissipation
In conductive media without topological protection, magnetic fields decay through resistive diffusion.
The Ohmic decay timescale is

.
For small-scale structures this timescale can be relatively short.
Substrate Pinning
When vortex filaments carrying magnetic flux pin to lattice defects or spin domains, their topology becomes constrained.
Pinned vortices require significant energy to move or reconnect. The characteristic timescale for depinning becomes

for perfectly stable pinning configurations.
This produces topological protection of magnetic structures.
Survival of Primordial Fields
Large-scale cosmic magnetic fields can remain stable for extremely long durations if their underlying vortex structures remain pinned to the lattice.
Because the vortex topology remains preserved, magnetic flux does not freely diffuse.
The effective lifetime of such fields can therefore approach cosmic timescales on the order of

or longer.
These long lifetimes explain the persistence of weak primordial magnetic fields observed in large-scale cosmic structures.
11. Magnetization of Materials
Magnetization results from coherent interaction between the material lattice, the superfluid medium, and the cubic magnetic substrate. The magnetic response of matter arises when vortex structures in the superfluid align with microstructural features of the material and pin to defects or domain boundaries. These pinned vortices couple the material to the underlying cubic substrate symmetry.
Magnetic domains therefore represent regions where local vortex pinning and material lattice orientation match a stable configuration relative to the global substrate.
11.1 Standard Model vs Substrate Mechanism
Standard Model
Magnetization is interpreted as alignment of electron spins or orbital magnetic moments within atomic orbitals under an applied magnetic field.

Domains arise when groups of spins align to minimize exchange energy.
Substrate Mechanism
Magnetization arises from vortex alignment in the superfluid medium interacting with material microstructure.
Material lattice sites act as pinning centers for vortex filaments. When an external field modifies the local fluid velocity field, vortices reconfigure and lock to specific lattice orientations.
Magnetic domains correspond to regions where:
vortex circulation is stable,
pinning energy is minimized,
orientation matches cubic substrate symmetry.
The magnetization vector becomes

11.2 Microscopic Magnetization Process
Magnetization proceeds through sequential dynamical stages involving vortex motion and pinning.
1. Virgin State (Demagnetized Material)
In the absence of external fields:
domain orientations are randomly distributed relative to the substrate,
vortex structures in the superfluid fluctuate locally.
The net magnetic field cancels due to opposing domains.

Local vortex circulation exists but lacks coherent alignment across the material.
2. External Field Application
Applying an external magnetic field introduces a shear force on the superfluid.

The shear in the fluid reorients nearby vortex filaments.
These vortices begin aligning with the direction of the applied field.
Material moments follow because vortex pinning occurs at lattice defects within the material.
3. Domain Wall Motion
Domains that align with the external field expand, while opposing domains shrink.
The boundary between domains is a domain wall where vortex pinning energy is locally high.
Domain wall velocity is governed by the balance between magnetic driving force and pinning resistance.

Domain walls move when the magnetic driving force exceeds the pinning threshold.
4. Vortex Pinning
As vortex filaments shift through the material, they encounter defects such as
grain boundaries,
dislocations,
inclusions.
These defects provide pinning potentials.
The circulation around a pinned vortex loop obeys quantization:

Pinned vortices stabilize the local domain orientation.
5. Saturated State
At sufficiently strong external fields, nearly all domains align with the field direction or the nearest stable substrate axis.
The total magnetization approaches saturation.

Multiplied by the effective volume of aligned domains.
The material enters a coherent pinned state in which vortex circulation is stable across most of the structure.
11.3 Substrate Domain Geometry
Magnetic domains follow the symmetry of the cubic substrate lattice.
Preferred orientations correspond to low-energy lattice directions.

These directions minimize vortex curvature and pinning energy.
Weiss Domain Scale
Typical Weiss domain size in ferromagnetic materials is approximately

This scale corresponds to the coherence length over which vortex structures remain stable relative to the lattice.
When domain size matches this scale, pinning energy is minimized.
Barkhausen Jumps
Domain wall motion does not occur continuously.
Instead, walls remain pinned until the applied field exceeds the local pinning energy.
The sudden release of a wall produces a discrete magnetization change known as a Barkhausen jump.
This corresponds to a vortex bundle depinning from a defect.
Domain Wall Energy
The energy density of a domain wall is determined by exchange stiffness and anisotropy relative to lattice orientation.

Minimum energy occurs when the magnetization lies along substrate symmetry axes.
11.4 Millimeter Magnet Example
A cubic neodymium magnet of size approximately

provides a system where the magnetic domain scale and substrate coherence scale are comparable.
Material Microstructure
Typical NdFeB magnets contain grains of size

These grains are exchange-coupled, allowing domain structures to extend across multiple grains.
Substrate Coupling
When the magnet size approaches the coherence scale of substrate pinning (~1 mm), vortex structures can pin coherently across the entire magnet.
The effective magnetization becomes

across the full volume.

Field Structure Near the Magnet
At distances comparable to the magnet size

the field pattern reflects internal domain structure.
Domain boundaries distort the field geometry.
Field Structure at Larger Distances
At larger distances

fine domain structure averages out.
The magnetic field approaches a dipole form but may contain higher-order harmonics arising from the underlying lattice symmetry.
These harmonics represent residual effects of the substrate-aligned vortex configuration within the magnet.
11.5 Hysteresis Loop Substrate Physics
Magnetic hysteresis in condensed matter is treated here as the response of spin domains embedded in a fluid medium that is constrained by a cubic magnetic substrate. The substrate introduces preferred spatial axes and discrete pinning centers that alter the conventional continuum description of magnetization dynamics.
Let the magnetization field be

contains metastable minima determined by domain pinning.
1. Virgin State → Initial Permeability
In an unmagnetized sample, domains are randomly oriented but constrained by the cubic substrate axes.
The magnetic susceptibility tensor is therefore orientation-dependent

Initial magnetization proceeds through reversible domain wall motion until pinning thresholds are reached.
2. Knee → Saturation
Domain wall propagation continues until all spins align with the nearest substrate axis.

3. Demagnetization → Coercivity
Upon field reversal, domains do not immediately reorient because spins remain pinned to substrate potential wells.
The pinning force per unit area on a domain wall is

4. Remanence → Residual Magnetization
After the external field returns to zero, a fraction of domains remains aligned due to pinning.

The remanent magnetization therefore reflects the efficiency of lattice locking rather than purely intrinsic spin interactions.
11.5 Resolved: Magnetic Anomalies
Several empirical phenomena in magnetism follow directly from substrate pinning dynamics.
Ultra-High Coercivity
Observed coercivities in rare-earth compounds exceed predictions from simple exchange models.
Using the substrate formulation,

1 mm Magnetic Domain Scale
Weiss domains commonly appear at millimeter scales.

domain walls stabilize at this scale because wall propagation beyond a coherence region encounters new pinning potentials.
Barkhausen Noise Universality
Magnetization changes occur as discrete jumps when domain walls escape pinning wells.

then the magnetization change occurs through avalanche events.
The avalanche size distribution follows

This produces scale-invariant Barkhausen noise.
Magnetostriction
Magnetization changes cause mechanical deformation because spin orientation alters the local stress tensor.
Define the strain tensor

11.6 Mathematical Master Equations
The time evolution of magnetization is governed by the Landau–Lifshitz–Gilbert form with an additional substrate force.

Effective Magnetic Field

Exchange Field

which smooths spatial magnetization gradients.
Substrate Coupling Field
The cubic substrate introduces long-range dipolar alignment terms.

Resulting Interpretation
Magnetization in solid materials can be represented as the transient alignment of spin domains within a magnetized fluid constrained by a cubic lattice substrate.
The macroscopic magnetic behavior—hysteresis, coercivity, remanence, domain scaling, Barkhausen noise, and magnetostriction—emerges from three interacting mechanisms:
The presence of substrate pinning introduces discrete energy wells that govern domain dynamics and establish characteristic coherence scales in magnetized materials.
12. Resonance Field Sizes and Locations
The magnetized domain scale near 1mm represents a coherence length at which collective magnetic order stabilizes in bulk ferromagnetic media. If magnetization dynamics are constrained by a cubic magnetic substrate, this coherence length defines the fundamental spatial resonance of the coupled system. Larger structures form discrete harmonic volumes where magnetic energy and substrate alignment simultaneously minimize the free energy functional.
Let the fundamental coherence length be

This defines the smallest macroscopic region over which domain magnetization behaves as a single correlated unit.
12.1 Harmonic Resonance Volumes

Substituting numerical values,

which matches the observed harmonic volume.
12.2 Resonant Field Amplification
Magnetic energy density in a magnetized region is

Large harmonic volumes therefore store significantly larger magnetic energy while maintaining the same magnetization density.
12.3 Standoff Field Structure

However, if the magnetization volume resonates with the substrate coherence length, an additional field term arises from coherent coupling between the domain and substrate lattice modes.

where the exponential term maximizes coupling relative to dipole decay.
12.4 Resonance Hierarchy
If harmonic volumes follow a cubic scaling law

12.5 Cosmological Resonance Scale
Large-scale matter distribution exhibits a characteristic clustering scale known from galaxy surveys.
Let the preferred separation scale be

Thus the large-scale cosmic clustering length corresponds to approximately the 11th harmonic of the domain-scale resonance hierarchy.
12.6 Planetary Harmonic Example

Thus planetary magnetic structures correspond to approximately the sixth harmonic of the domain-scale resonance sequence.
12.7 Galactic Harmonic Example
For the stellar disk diameter of the Milky Way,

Thus galactic-scale magnetic structures lie near the ninth resonance harmonic.
12.8 Downward Scaling Limits
The same resonance relation can be applied toward smaller scales.
Let the inverse harmonic ratio be

Framework: Volumetric resonance iteration with fixed ratio R = 16,000, anchored at fundamental coherence length L₀ = 1 mm.
| Harmonic Step (n) | Linear Scale Ln (meters) | Common Units | Physical Context |
|---|---|---|---|
| 0 | 1.000000 × 10−3 | 1.000000 mm | Fundamental coherence node (DRUMS 0.0) |
| 1 | 3.968503 × 10−5 | 39.68503 μm | Fine particulate / micro-magnetic structures |
| 2 | 1.574903 × 10−6 | 1.574903 μm | Bacterial scale / optical resolution limit |
| 3 | 6.250000 × 10−8 | 62.50000 nm | Large biomolecules / virion envelope scale |
| 4 | 2.480317 × 10−9 | 2.480317 nm | Small protein domains / quantum dot confinement |
| 5 | 7.843135 × 10−11 | 0.09843135 nm = 0.9843135 Å | Atomic resonance zone |
| 6 | 3.906250 × 10−12 | 3.906250 pm | Inner-shell electron dynamics |
| 7 | 1.550293 × 10−13 | 155.0293 fm | Nuclear force range onset |
| 8 | 6.152344 × 10−15 | 6.152344 fm | Nuclear resonance zone (upper bound) |
| 9 | 2.441406 × 10−16 | 0.2441406 fm | Nuclear resonance zone (lower bound) |
| 10 | 7.687500 × 10−18 | 0.0096875 fm | Sub-nuclear vortex core scale |
12.10 Median Node Interpretation
Because the coherence scale

lies near the logarithmic midpoint of the resonance ladder spanning nuclear to cosmic dimensions, it represents the scale at which macroscopic magnetic structures directly interact with the underlying substrate without requiring extreme energy densities or astronomical sizes.
The magnetized domain therefore functions as the smallest experimentally accessible structure where coherent alignment with the substrate can be investigated through laboratory measurements of field structure, domain stability, and resonance behavior.
13. Lattice Alignment
In the DRUMS framework the universe is modeled as a moving superfluid medium embedded in, and interacting with, a fixed cubic magnetic substrate. The observable physical phenomena arise from transient alignment between the vorticity field of the superfluid and the principal axes of the substrate lattice.
The universe is described by two simultaneous motions:

These represent lattice planes along which magnetic coupling can occur.
13.1 Relative Motion Between Fluid and Substrate
The local fluid velocity field is

13.2 Alignment Probability
Assume lattice directions form a discrete set of cones covering the celestial sphere.
For cubic symmetry the number of primary symmetry directions is

This predicts that only a small fraction of astrophysical events occur during alignment.
13.3 Magnetar Formation
Magnetars exhibit magnetic fields

However, alignment with the substrate introduces coherent domain coupling across the stellar interior.
Let

which matches observed values.
13.4 Dynamo Coupling During Alignment
Magnetic field growth in a conducting fluid follows the induction equation

]
which rapidly increases field strength.
13.5 Gamma Ray Burst Collimation
Relativistic jets in GRBs arise from magnetic pressure gradients.
The magnetohydrodynamic momentum equation is

producing highly collimated jets.
13.6 Fast Radio Bursts
Neutron stars contain quantized superfluid vortices.
Vortex density is

yielding radio-frequency emission bursts on millisecond timescales.
13.7 Type Ia Supernova Brightness Variation
Type Ia supernovae arise from thermonuclear runaway in white dwarfs.
Burning front propagation follows

magnitudes.
13.8 Pulsar Glitches
Pulsar rotation is governed by conservation of angular momentum

occur when many vortices release simultaneously.
Alignment with the substrate may synchronize vortex unpinning across large regions, producing avalanche events.
13.9 Alignment Duration
Alignment events persist only while the star's rotation axis remains within the angular tolerance.

This duration matches timescales of observed transient astrophysical bursts.
13.10 Grid–Sphere Geometry
The cubic substrate defines a discrete orientation lattice on the celestial sphere.
Allowed directions correspond to normalized integer vectors

These directions produce 48 symmetry-equivalent cones due to cubic rotational symmetry.
Alignment occurs when astrophysical rotation axes fall within these cones.
13.11 Observable Event Rates

which is comparable to observed transient high-energy event frequencies.
13.12 Observable Alignment Signatures
Alignment-driven phenomena exhibit several measurable properties:

These arise when transient coupling occurs between the moving superfluid universe and the fixed cubic magnetic substrate.
14. Near-Field Envelopes (“Magnetic Boxes”)
A near-field envelope is defined as the localized topological structure formed in the superfluid medium surrounding any time-varying excitation. These envelopes arise from quantized vorticity coupled to defects or pinning sites in the cubic magnetic substrate.
The envelope defines the region where information, momentum, and field topology are preserved as an excitation propagates through the medium.
Let the velocity field of the superfluid be

14.1 Quantized Circulation
Superfluid vortices obey quantized circulation constraints.
For a closed loop surrounding a vortex core,

This condition enforces discrete topological states of the envelope.
14.2 Magnetic Representation of the Envelope
Magnetic field structures arise from the vector potential

due to the combined effects of fluid vorticity and lattice coupling.
14.3 Geometric Forms of Envelopes
Different excitations generate different vortex geometries depending on interaction strength and symmetry constraints. These can be colloquially described as “magnetic boxes” with attributes.
Three principal envelope morphologies arise.
Rigid Braided Envelope
Topology remains fixed during propagation.
The vortex bundle maintains constant winding number and braid structure.
Mathematically

Propagation occurs without topological deformation.
Fluid Envelope
Weakly interacting excitations allow the vortex geometry to continuously reshape.
The envelope evolves according to the hydrodynamic equation

allowing dynamic reconfiguration.
Conical Envelope
Strong confinement interactions generate flux-tube geometries where field lines converge toward a narrow axis.
The envelope approximates a cone with opening angle determined by energy minimization.
14.4 Envelope Rigidity Spectrum
Envelope stiffness depends on interaction coupling strength and substrate gradients.
Let the stiffness parameter be

Large gradients and strong coupling produce rigid envelopes.
Weak interactions produce fluid envelopes.
14.5 Photon Envelopes
Electromagnetic excitations generate rigid vortex bundles due to strong coupling between charge currents and magnetic fields.
A time-varying current density

a propagating electromagnetic excitation forms.
The envelope becomes topologically stabilized through quantized vortex pinning.
Formation steps:
Oscillating current generates local vorticity
Vorticity couples to substrate pinning sites
Quantized circulation fixes braid topology
The resulting envelope transports energy while preserving topological structure.
| Aspect | DRUMS Explanation |
|---|---|
| Wave | Phase-coherent excitation spreads over space; can interfere, diffract, and superpose. |
| Particle | Localized energy deposition occurs at detection; discrete events arise from vortex/substrate pinning. |
| Collapse | Not fundamental; “collapse” is the localization of excitation energy into a node due to fluid-lattice nonlinear dynamics. |
| Coherence | Maintained until interaction with a substrate node or another strongly coupled system. |
In DRUMS, photons are fluid-substrate excitations whose dynamics naturally produce both continuous interference patterns and discrete detection events. Wave-particle duality is a direct consequence of the superfluid + cubic lattice ontology, with no additional postulates required.
14.6 Neutrino Envelopes
Weakly interacting excitations produce fluid envelopes that continuously adapt to the local lattice orientation.
Let the envelope Hamiltonian be

Continuous re-alignment of the envelope with substrate directions maintains coherence over large propagation distances.
14.7 Hadronic Confinement Envelopes
Strong interaction excitations produce conical flux structures.

The color field energy is concentrated within a narrow tube.
The potential energy increases linearly:

is the string tension.
This produces confinement.
Mesons correspond to vibrational modes of a single flux tube.
Baryons correspond to three tubes joining at a central junction.
Energy minimization yields a Y-shaped configuration.
14.8 Phase Transition of Conical Envelopes

the free energy becomes negative and confinement dissolves.
The system enters a quark–gluon plasma state where envelope structure becomes fluid.
14.9 Anomalous Phenomena Interpreted via Envelope Physics
Several observed anomalies can be interpreted as interactions between envelopes and the substrate.
Radiation Drag Effects
A spacecraft radiating energy produces asymmetric thermal emission.
If the emitted radiation interacts with a substrate-coupled envelope, net momentum transfer occurs.

Orbital Flyby Phase Shifts
Planetary gravitational fields generate large-scale envelopes around rotating bodies.
A spacecraft passing through the envelope experiences additional phase shifts in velocity due to transient coupling.
Quantum Zeno Effect
Repeated measurement imposes boundary constraints on the wavefunction envelope.
Frequent projections prevent evolution away from the pinned state.

Casimir Effect
Boundary surfaces constrain allowed envelope modes of vacuum fluctuations.
Allowed wave numbers satisfy

producing attraction between boundaries.
Lamb Shift
Atomic energy levels are modified by interactions with fluctuating vacuum envelopes.
The correction to the hydrogen energy level can be expressed as

14.10 Universal Envelope Equation
The evolution of the envelope wavefunction (\psi) follows a generalized wave equation including substrate coupling.

14.11 Envelope Interpretation
The near-field envelope defines the spatial region where quantized vorticity, magnetic field structure, and substrate alignment combine to produce stable propagating excitations.
The envelope topology determines:
• propagation stability
• interaction strength
• confinement behavior
• oscillation dynamics.
Rigid envelopes preserve topology over long distances, fluid envelopes adapt continuously to local conditions, and conical envelopes produce confinement through linear energy growth.
Magnetic boxes represent localized topological interfaces through which excitations couple to the underlying substrate structure. These structures do not generate new physical laws; rather, they reveal the geometric and dynamical constraints already present in the propagation of fields and particles.
In this interpretation, engineered magnetic structures act as boundary conditions that make these substrate couplings experimentally accessible. They provide controlled regions where the topology of propagating excitations becomes measurable.
Evidence for such envelope structures appears across multiple interaction regimes:
Neutrinos: Flavor oscillations indicate that weakly interacting excitations maintain coherent propagation states over large distances. This behavior is consistent with a dynamically evolving envelope that remains phase-coherent while adapting to environmental conditions.
Photons: Electromagnetic radiation propagates with well-defined phase and polarization structures that preserve topology across long distances. These properties demonstrate the stability of rigid propagation envelopes associated with electromagnetic fields.
Hadrons: Strong interaction confinement manifests as flux-tube geometries between quarks, where field energy is localized into narrow regions with approximately constant tension. This behavior corresponds to envelope structures whose geometry constrains particle separation.
Across these cases, the observable properties of particles arise from the structure and stability of their associated propagation envelopes within the surrounding field medium.
15. Quantum Tunneling

15.1. Barrier Representation as Surface Tension
A barrier corresponds to a localized increase in membrane curvature or surface tension.
Surface tension energy density







16. Entanglement








17. The Fine Structure Constant









18. Surface Excitation Layer (“Beer Foam Layer”) in the DRUMS Framework
The surface excitation layer is defined as the region in which observable particles and electromagnetic radiation propagate while interacting weakly with the deeper substrate structure. This layer forms the interface between the superfluid bulk and the cubic magnetic lattice beneath it.
In this description, observable excitations behave as surface modes confined to a finite penetration depth within the superfluid medium.
18.1 Structure of the Surface Layer
The system is divided into two principal regions:
Surface excitation layer where observable particles propagate
Bulk superfluid region where deeper vortex structures dominate.
Let the vertical coordinate (z) measure distance into the bulk from the interface.
The amplitude of a surface excitation decreases exponentially with depth:

18.2 Surface Energy Density
The surface layer is stabilized by surface tension between the superfluid and the underlying substrate.
Let the substrate energy density be

This energy difference creates a potential barrier preventing surface excitations from penetrating deeply into the bulk.
18.3 Superfluid Bulk Region
Below the interface lies the superfluid interior.

indicating dense vortex structures.
Surface excitations entering this region rapidly lose coherence due to interactions with the vortex tangle.
18.4 Mechanism of Surface Confinement
Surface excitations remain near the interface because the vertical potential energy forms a well.
Let the vertical potential be

representing the approximate thickness of the surface excitation layer.
18.5 Photon Surface Modes
Electromagnetic radiation propagates as wave excitations confined to this interface.
A time-varying current density

At sufficiently small wavelengths the surface tension term dominates.
18.6 Emergent Propagation Velocity
For surface waves dominated by tension forces,

which relates propagation speed to properties of the surrounding medium.
18.7 Interaction Strength and Surface Behavior
Different particle types couple differently to the surface layer.
Let the interaction strength with the interface be denoted

Three regimes occur.
Electromagnetic Coupling
Strong electromagnetic interaction produces tightly confined surface excitations.
Penetration depth approximately follows the electromagnetic near-field scale

Weak Interaction Coupling
Weakly interacting particles penetrate deeper before interacting.
The characteristic scale approaches the Compton wavelength

which sets the effective localization length.
Strong Interaction Coupling
Strong interactions confine energy into flux-tube structures rather than surface modes.
This results in localized field structures instead of extended waves.
18.8 Observable and Hidden Physical Quantities
The surface layer contains directly measurable quantities.
Examples include
In contrast, deeper bulk properties are not directly accessible.
Examples include

The interface between these regions contains hybrid phenomena where surface excitations interact with deeper structures.
18.9 Skin Depth Hierarchy
Penetration depth varies significantly depending on the type of excitation.
Typical orders of magnitude are

These scales reflect the interaction strength between each excitation and the surrounding medium.
18.10 Summary of the Surface Layer
The observable universe corresponds to a thin excitation layer in which particles and electromagnetic fields propagate as surface modes.
This layer has three defining properties:
finite penetration depth determined by surface energy density
confinement of most observable interactions near the interface
exponential suppression of excitation amplitude within the bulk.
Excitations that attempt to penetrate deeper into the bulk encounter strong vortex interactions and rapidly lose coherence, preventing stable propagation within the interior medium.
19. Empirical Limits of Surface Observation in the DRUMS Framework
In the DRUMS description, observable physics occurs primarily within a surface excitation layer. Measurements performed within this layer are constrained by fundamental limits that prevent direct access to deeper substrate structures. These limits arise from finite probe wavelengths, quantum uncertainty relations, and the exponential attenuation of surface modes within the bulk medium.
19.1 Measurement Resolution Limits

the measured signal becomes spatially averaged over multiple lattice cells, producing a smeared observable.
19.2 Quantum Uncertainty Constraints
Quantum measurement introduces an additional constraint on simultaneous localization of position and momentum.
The uncertainty principle states

which establishes a minimal coherence region over which measurements remain meaningful.
19.3 Classes of Unobservable Quantities
Several quantities associated with the deeper substrate remain inaccessible to surface measurements.
Lattice Spacing
If the substrate lattice constant satisfies

Measured observables become spatial averages across many lattice sites.
Bulk Vorticity
Bulk vorticity is defined by

when integrated across many randomly oriented vortices.
Node Spin Phases
Each lattice node may possess an internal phase parameter

Vortex Tangle Connectivity
Vortex lines may link and knot within the bulk.
The linking number between two vortex loops is

because positive and negative linkings statistically cancel.
19.4 Surface Measurement Operator
Observables measured at the interface correspond to expectation values over the surface density matrix.
Let the surface state be

19.5 Deductive Determination of Bulk Parameters
Although direct measurement is not possible, bulk properties can be inferred indirectly through observable surface phenomena.
Global Vorticity
Large-scale rotation of the cosmic fluid can be estimated by analyzing angular momentum distributions of astrophysical systems.

Lattice Spacing from Harmonic Scales
If resonance structures appear at two characteristic lengths

Vortex Tangle Complexity
Entropy production in a turbulent vortex system is related to reconnection events.
Let the vortex line density be

producing a macroscopic arrow of time.
Substrate Tension
The tension associated with the substrate can be related to energy density in the superfluid medium.

This relation resembles the energy density of relativistic fluids.
19.6 Logical Constraints on Direct Bulk Detection
Several physical mechanisms prevent direct probing of the bulk substrate.
Mode Orthogonality
Surface excitations propagate as transverse modes, whereas bulk excitations may be longitudinal.
If

mode coupling becomes extremely weak.
Exponential Evanescence
Surface modes decay exponentially into the bulk.

At depths much larger than the lattice scale, the amplitude becomes negligibly small.
Statistical Averaging

Topological Projection Limits
Certain bulk vortex configurations cannot be mapped onto surface excitations without destroying their topology.
Therefore the mapping

is not bijective, preventing direct replication of bulk states within the surface layer.
19.7 Limitations of Existing Probe Techniques
Various experimental approaches fail to access the bulk substrate for different physical reasons.
High-Energy Particle Collisions
Large collision energies generate localized excitations that disrupt coherent structures rather than revealing underlying lattice order.
Gravitational Wave Measurements
Gravitational waves couple primarily to large-scale spacetime curvature and produce frame-dragging effects within the surface layer, leaving deeper substrate modes weakly excited.
Neutrino Beams
Neutrinos interact weakly with matter and propagate through extended fluid envelopes, but their interactions remain insufficient to resolve individual lattice structures.
19.8 Summary
Surface observations are fundamentally limited by probe wavelength, quantum uncertainty, and exponential attenuation of surface modes within the bulk medium.
Direct measurement of substrate structures is therefore prevented by:
insufficient spatial resolution
averaging over large numbers of lattice sites
orthogonality between surface and bulk excitation modes
destruction of bulk topology during projection to the surface layer.
As a result, deeper substrate properties must be inferred indirectly from observable surface phenomena rather than measured directly.
20. Long-Term Future of the Universe
Within this framework, the long-term evolution of the universe proceeds through several dynamical phases as cosmic expansion slows and the underlying lattice structure becomes increasingly dominant. The scenario begins with the current era of turbulent expansion and ultimately approaches a regime in which lattice physics governs nearly all remaining dynamics.
20.1 Phase Evolution Overview
The evolution can be summarized as a sequence of regimes:
Phase 0 — Present (≈11.8 billion years):
Ongoing expansion with complex vortex structure and large-scale turbulence.
Phase 1 — ~10¹⁰⁰ years:
Expansion gradually halts, producing a long-lived quasi-static state.
Phase 2 — ~10¹⁰⁰⁰ years:
Residual angular momentum dissipates and large-scale spin declines.
Phase 3 — ~10¹⁰⁰⁰⁰ years:
Stellar and compact-object decay processes dominate energy release.
Phase 4 — t → ∞:
A highly ordered lattice-dominated regime emerges.
The balance between expansion and medium tension can be expressed schematically as

where the scale factor stabilizes when the dynamical complexity reaches a maximum and the net expansion rate approaches zero.
20.2 Phase 1 — Expansion Freeze
At extremely long timescales, cosmic expansion is predicted to slow as the system approaches maximal vortex complexity.
Key features include:
The effective expansion rate approaches zero.
Large-scale gravitational structures gradually decay.
Compact objects lose mass through processes analogous to those predicted by Hawking Radiation.
In this stage, the influence commonly attributed to Dark Energy becomes negligible because expansion pressure balances with internal medium tension.
Rotational motion of galaxies also dissipates slowly through interactions with the surrounding medium, leading to extremely long spin-down timescales.
20.3 Phase 2 — Spin Dissipation
Over still longer periods, most remaining angular momentum gradually disappears.
Expected outcomes include:
Galaxies cease large-scale rotation.
Stellar systems settle into stable configurations.
Matter becomes increasingly concentrated near structural nodes within the cosmic network.
As rotational dynamics fade, motion becomes increasingly constrained by the geometry of the underlying lattice.
20.4 Phase 3 — Directed Energy Release
In this phase, the remaining energetic processes occur during the decay or collapse of long-lived stellar remnants such as White Dwarf stars or through processes related to Proton Decay (if such decay occurs in nature).
Energy release may become anisotropic if the medium channels energy preferentially along structural directions. Instead of isotropic explosive remnants similar to present-day Supernova events, energy might propagate along defined pathways determined by the medium’s geometry.
20.5 Phase 4 — Lattice-Dominated Regime
At extremely late times, the universe would approach a highly ordered state where the lattice structure governs most physical processes.
In this regime:
Particle motion becomes strongly constrained by structural pathways.
Wave propagation shows interference patterns characteristic of periodic media, similar to Bragg Diffraction.
The remaining excitations behave like collective modes propagating through a structured medium.
Wave behavior in such a periodic system resembles lattice phonon dispersion relations known from condensed matter systems, where allowed energies depend strongly on the geometry of the underlying structure.
Conclusion
This long-term scenario proposes neither endless expansion nor ultimate collapse but instead that the universe evolves from a turbulent, expanding state toward a highly ordered configuration dominated by collective medium dynamics. the framework provides a conceptual way to explore how large-scale structure, expansion, and the deep properties of space might interact over extreme cosmological timescales.
21. Challenges and Open Questions
While the superfluid–lattice framework provides explanations for many observed phenomena, several areas require further theoretical and quantitative development.
1. Extending General Relativity
A full treatment requires incorporating a superfluid stress–energy tensor into the equations of General Relativity.
This involves modeling how a compressible, vortex-bearing medium contributes to curvature at cosmological scales and how lattice anisotropy modifies the effective metric.
2. Gravitational Wave Propagation
The behavior of waves predicted by Gravitational Waves must be analyzed within a superfluid environment.
Open questions include:
Whether vortex structures produce measurable dispersion or attenuation.
How wave polarization interacts with lattice orientation.
Whether superfluid excitations alter phase velocity over cosmic distances.
3. Precision Matching of BAO Peaks
Observed features of Baryon Acoustic Oscillations provide a sensitive cosmological ruler.
The framework must reproduce:
The exact peak spacing in the matter power spectrum.
The amplitude ratios between successive peaks.
The evolution of the BAO signal over cosmic time.
Achieving this requires detailed simulations of density waves propagating through a vortex-structured medium.
Interpretation
These issues represent technical modeling challenges, not fundamental contradictions.
They primarily involve extending existing mathematical tools and running high-precision simulations to test whether the predicted behavior quantitatively matches observational data.
22. Conclusions
A bounded superfluid universe with a finite interface and non-zero surface tension provides a physically grounded framework for interpreting large-scale gravitational phenomena. Within this picture, many observations traditionally attributed to unseen matter or exotic energy sources can instead arise from the collective behavior of a structured medium.
In particular, effects commonly associated with Dark Matter—such as flat galactic rotation curves—can emerge from long-range phonon-mediated forces within the cosmic fluid. Because the framework treats gravity and inertia as macroscopic consequences of fluid dynamics and vortex interactions, it provides natural explanations for galaxy clustering, large-scale structure formation, and early massive galaxy emergence without introducing additional particle species.
Future work should focus on precise modeling of boundary dynamics and on integrating this fluid description with the equations of General Relativity so that the theory can generate quantitative predictions testable against observational data.
1.2 Cubic Magnetic Substrate
Beneath the superfluid layer lies a discrete cubic magnetic substrate. In this structure:
Each lattice node carries an intrinsic spin orientation.
Connections between nodes define the pathways through which spin-wave excitations can propagate.
These excitations correspond to what condensed-matter physics calls Magnons—collective oscillations of spin alignment.
The lattice plays several structural roles:
It quantizes circulation and magnetic flux within the fluid.
It introduces preferred spatial directions and anisotropies.
It establishes characteristic length scales that organize coherent behavior in the overlying medium.
In this sense, the lattice acts as the geometric scaffold upon which the superfluid dynamics unfold.
1.3 Fields as Emergent Phenomena
Within this framework, classical electromagnetic fields are not fundamental entities but effective, large-scale descriptions of deeper dynamics.
The electric field reflects gradients and compressional modes of fluid motion.
The magnetic field reflects rotational flow patterns and organized vorticity interacting with substrate spin structures.
Thus the familiar framework of Electromagnetism can be interpreted as a macroscopic approximation of coupled fluid and spin-lattice behavior.
In this picture, entities normally treated as particles—such as Photons—are coherent wave packets formed by the interaction between fluid oscillations and lattice spin waves. They behave particle-like at observational scales but fundamentally represent propagating excitations of the combined medium.
23. References
1. Pitaevskii, L. P., & Stringari, S. (2016). *Bose-Einstein Condensation and Superfluidity*. Oxford University Press. ISBN: 9780198758884.
2. Ginzburg, V. L., & Landau, L. D. (1950). "On the theory of superconductivity". *Zhurnal Eksperimental'noi i Teoreticheskoi Fiziki*, 20, 1064.
3. Gross, E. P. (1961). "Structure of a quantized vortex in boson systems". *Il Nuovo Cimento*, 20(3), 454-466.
4. Pitaevskii, L. P. (1961). "Vortex lines in an imperfect Bose gas". *Soviet Physics JETP*, 13(2), 451-454.
5. Dalfovo, F., Giorgini, S., Pitaevskii, L. P., & Stringari, S. (1999). "Theory of Bose-Einstein condensation in trapped gases". *Reviews of Modern Physics*, 71(3), 463.
6. Madelung, E. (1927). "Quantentheorie in hydrodynamischer Form". *Zeitschrift für Physik*, 40(3-4), 322-326.
7. Feynman, R. P. (1955). "Application of quantum mechanics to liquid helium". *Progress in Low Temperature Physics*, 1, 17-53.
8. Landau, L. D. (1941). "The theory of superfluidity of helium II". *Journal of Physics USSR*, 5, 71.
9. Bogoliubov, N. N. (1947). "On the theory of superfluidity". *Journal of Physics USSR*, 11, 23.
10. Lee, T. D., Huang, K., & Yang, C. N. (1957). "Eigenvalues and eigenfunctions of a Bose system of hard spheres". *Physical Review*, 106(6), 1135.
11. Pethick, C. J., & Smith, H. (2008). *Bose-Einstein Condensation in Dilute Gases*. Cambridge University Press.
12. Griffin, A. (1993). *Excitations in a Bose-Condensed Liquid*. Cambridge University Press.
13. Onsager, L. (1949). "Statistical hydrodynamics". *Il Nuovo Cimento*, 6(2), 279-287.
14. Donnelly, R. J. (1991). *Quantized Vortices in Helium II*. Cambridge University Press.
15. Fetter, A. L. (1974). "Vortices in an imperfect Bose gas". *Physical Review A*, 10(6), 2195.
16. Vinen, W. F. (1961). "The detection of single quanta of circulation in liquid helium II". *Proceedings of the Royal Society A*, 260, 218.
17. Nore, C., Brachet, M. E., & Fauve, S. (1993). "Numerical study of hydrodynamics using the nonlinear Schrödinger equation". *Physica D: Nonlinear Phenomena*, 65(1-2), 154-162.
18. Winiecki, T., & Adams, C. S. (2000). "A fast semi-implicit finite-difference method for the GP equation". *Journal of Computational Physics*, 159(2), 337-352.
19. Schwarz, K. W. (1985). "Three-dimensional vortex dynamics in superfluid ⁴He". *Physical Review B*, 31(9), 5782.
20. Barenghi, C. F., Donnelly, R. J., & Vinen, W. F. (2001). *Quantized Vortex Dynamics and Superfluid Turbulence*. Springer.
21. Tsubota, M., Kobayashi, M., & Takeuchi, H. (2013). "Quantum hydrodynamics". *Physics Reports*, 522(3), 191-238.
22. Zakharov, V. E., & Shabat, A. B. (1972). "Exact theory of two-dimensional self-focusing and one-dimensional self-modulation of waves in nonlinear media". *Soviet Physics JETP*, 34(1), 62.
23. Tsuzuki, T. (1971). "Nonlinear waves in the Pitaevskii-Gross equation". *Journal of Low Temperature Physics*, 4(4), 441-457.
24. Kivshar, Y. S., & Malomed, B. A. (1989). "Dynamics of solitons in nearly integrable systems". *Reviews of Modern Physics*, 61(4), 763.
25. Weiss, P. (1907). "L'hypothèse du champ moléculaire et la propriété ferromagnétique". *Journal de Physique Théorique et Appliquée*, 6(1), 661-690.
26. Bloch, F. (1930). "Zur Theorie des Ferromagnetismus". *Zeitschrift für Physik*, 61(3-4), 206-219.
27. Kittel, C. (1949). "Physical theory of ferromagnetic domains". *Reviews of Modern Physics*, 21(4), 541.
28. Landau, L. D., & Lifshitz, E. M. (1935). "On the theory of the dispersion of magnetic permeability in ferromagnetic bodies". *Physikalische Zeitschrift der Sowjetunion*, 8(2), 153-169.
29. Néel, L. (1948). "Propriétés magnétiques des ferromagnétiques en grains fins". *Comptes Rendus Académie Sciences*, 224, 1488-1490.
30. Stoner, E. C., & Wohlfarth, E. P. (1948). "A mechanism of magnetic hysteresis in heterogeneous alloys". *Philosophical Transactions of the Royal Society A*, 240(826), 599-642.
31. Brown, W. F. (1963). *Micromagnetics*. Interscience Publishers.
32. Hubert, A., & Schäfer, R. (1998). *Magnetic Domains: The Analysis of Magnetic Microstructures*. Springer.
33. Coey, J. M. D. (2010). *Magnetism and Magnetic Materials*. Cambridge University Press.
34. Barkhausen, H. (1919). "Zwei mit Hilfe der neuen Verstärker entdeckte Erscheinungen". *Physikalische Zeitschrift*, 20, 401-403.
35. Holstein, T., & Primakoff, H. (1940). "Field dependence of the intrinsic domain magnetization of a ferromagnet". *Physical Review*, 58(12), 1098.
36. Dyson, F. J. (1956). "General theory of spin-wave interactions". *Physical Review*, 102(5), 1217.
37. Bloch, F. (1932). "Zur Theorie des Austauschproblems und der Remanenzerscheinung der Ferromagnetika". *Zeitschrift für Physik*, 74(5-6), 295-335.
38. Keffer, F., & Kittel, C. (1952). "Theory of antiferromagnetic resonance". *Physical Review*, 85(2), 329.
39. Einstein, A. (1915). "Die Feldgleichungen der Gravitation". *Sitzungsberichte der Königlich Preußischen Akademie der Wissenschaften*, 844-847.
40. Friedman, A. (1922). "Über die Krümmung des Raumes". *Zeitschrift für Physik*, 10(1), 377-386.
41. Hubble, E. (1929). "A relation between distance and radial velocity among extra-galactic nebulae". *Proceedings of the National Academy of Sciences*, 15(3), 168-173.
42. Penzias, A. A., & Wilson, R. W. (1965). "A measurement of excess antenna temperature at 4080 Mc/s". *Astrophysical Journal*, 142, 419-421.
43. Peebles, P. J. E. (1993). *Principles of Physical Cosmology*. Princeton University Press.
44. Weinberg, S. (1972). *Gravitation and Cosmology: Principles and Applications of the General Theory of Relativity*. John Wiley & Sons.
45. Dodelson, S. (2003). *Modern Cosmology*. Academic Press.
46. Zwicky, F. (1933). "Die Rotverschiebung von extragalaktischen Nebeln". *Helvetica Physica Acta*, 6, 110-127.
47. Rubin, V. C., & Ford, W. K. (1970). "Rotation of the Andromeda Nebula from a spectroscopic survey of emission regions". *Astrophysical Journal*, 159, 379.
48. Milgrom, M. (1983). "A modification of the Newtonian dynamics as a possible alternative to the hidden mass hypothesis". *Astrophysical Journal*, 270, 365-370.
49. Bekenstein, J. D. (2004). "Relativistic gravitation theory for the modified Newtonian dynamics paradigm". *Physical Review D*, 70(8), 083509.
50. Berezhiani, L., & Khoury, J. (2015). "Theory of dark matter superfluidity". *Physical Review D*, 92(10), 103510.
51. Berezhiani, L., Khoury, J., & Wang, J. (2017). "Superfluid dark matter and the formation of large-scale structure". *Journal of Cosmology and Astroparticle Physics*, 2017(06), 020.
52. Planck Collaboration (2020). "Planck 2018 results. VI. Cosmological parameters". *Astronomy & Astrophysics*, 641, A6.
53. Spergel, D. N., et al. (2003). "First-year Wilkinson Microwave Anisotropy Probe (WMAP) observations: Determination of cosmological parameters". *Astrophysical Journal Supplement Series*, 148(1), 175.
54. Eisenstein, D. J., et al. (2005). "Detection of the baryon acoustic peak in the large-scale correlation function of SDSS luminous red galaxies". *Astrophysical Journal*, 633(2), 560.
55. Tegmark, M., et al. (2004). "The three-dimensional power spectrum of galaxies from the Sloan Digital Sky Survey". *Astrophysical Journal*, 606(2), 702.
56. Schwarzschild, K. (1916). "Über das Gravitationsfeld eines Massenpunktes nach der Einsteinschen Theorie". *Sitzungsberichte der Königlich Preußischen Akademie der Wissenschaften*, 189-196.
57. Kerr, R. P. (1963). "Gravitational field of a spinning mass as an example of algebraically special metrics". *Physical Review Letters*, 11(5), 237.
58. Blandford, R. D., & Znajek, R. L. (1977). "Electromagnetic extraction of energy from Kerr black holes". *Monthly Notices of the Royal Astronomical Society*, 179(3), 433-456.
59. Blandford, R. D., & Payne, D. G. (1982). "Hydromagnetic flows from accretion discs and the production of radio jets". *Monthly Notices of the Royal Astronomical Society*, 199(4), 883-903.
60. Hawking, S. W. (1974). "Black hole explosions?". *Nature*, 248(5443), 30-31.
61. Duncan, R. C., & Thompson, C. (1992). "Formation of very strongly magnetized neutron stars: Implications for gamma-ray bursts". *Astrophysical Journal*, 392, L9-L13.
62. Thompson, C., & Duncan, R. C. (1995). "The soft gamma repeaters as very strongly magnetized neutron stars". *Monthly Notices of the Royal Astronomical Society*, 275(2), 255-300.
63. Kaspi, V. M., & Beloborodov, A. M. (2017). "Magnetars". *Annual Review of Astronomy and Astrophysics*, 55, 261-301.
64. Baym, G., Pethick, C., & Pines, D. (1969). "Superfluidity in neutron stars". *Nature*, 224(5220), 673-674.
65. Anderson, P. W., & Itoh, N. (1975). "Pulsar glitches and restlessness as a hard superfluidity Phenomenon". *Nature*, 256(5512), 25-27.
66. Hewish, A., Bell, S. J., Pilkington, J. D. H., Scott, P. F., & Collins, R. A. (1968). "Observation of a rapidly pulsating radio source". *Nature*, 217(5130), 709-713.
67. Gold, T. (1968). "Rotating neutron stars as the origin of the pulsating radio sources". *Nature*, 218(5143), 731-732.
68. Espinoza, C. M., Lyne, A. G., Stappers, B. W., & Kramer, M. (2011). "A study of 315 glitches in the rotation of 102 pulsars". *Monthly Notices of the Royal Astronomical Society*, 414(2), 1679-1704.
69. Lorimer, D. R., Bailes, M., McLaughlin, M. A., Narkevic, D. J., & Crawford, F. (2007). "A bright millisecond radio burst of extragalactic origin". *Science*, 318(5851), 777-780.
70. Petroff, E., Hessels, J. W. T., & Lorimer, D. R. (2019). "Fast radio bursts". *The Astronomy and Astrophysics Review*, 27(1), 4.
71. CHIME/FRB Collaboration (2021). "Recent high activity from a repeating fast radio burst". *Nature*, 598(7882), 572-575.
72. Schrödinger, E. (1926). "Quantisierung als Eigenwertproblem". *Annalen der Physik*, 384(4), 361-376.
73. Heisenberg, W. (1927). "Über den anschaulichen Inhalt der quantentheoretischen Kinematik und Mechanik". *Zeitschrift für Physik*, 43(3-4), 172-198.
74. Dirac, P. A. M. (1930). *The Principles of Quantum Mechanics*. Oxford University Press.
75. von Neumann, J. (1932). *Mathematische Grundlagen der Quantenmechanik*. Springer.
76. Landauer, R. (1961). "Irreversibility and heat generation in the computing process". *IBM Journal of Research and Development*, 5(3), 183-191.
77. Bennett, C. H. (1982). "The thermodynamics of computation—a review". *International Journal of Theoretical Physics*, 21(12), 905-940.
78. Wheeler, J. A. (1990). "Information, physics, quantum: The search for links". In *Complexity, Entropy, and the Physics of Information*. Addison-Wesley.
79. Leggett, A. J. (1975). "A theoretical description of the new phases of liquid ³He". *Reviews of Modern Physics*, 47(2), 331.
80. Volovik, G. E. (2003). *The Universe in a Helium Droplet*. Oxford University Press. [This is particularly relevant as it draws direct analogies between condensed matter and cosmology]
81. Unruh, W. G. (1981). "Experimental black-hole evaporation?". *Physical Review Letters*, 46(21), 1351.
82. Barceló, C., Liberati, S., & Visser, M. (2011). "Analogue gravity". *Living Reviews in Relativity*, 14(1), 3.